Efficient Triangle Coverage Tests for Stochastic Rasterization

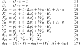
In our previous paper on stochastic rasterization [Laine et al. 2011], we stated that a 5D triangle coverage test consumes approximately 25 FMA (fused multiply-add) operations. This technical report details the operation of our coverage test. We also provide variants specialized for defocus-only and motion-only cases.
Publication Date
Published in
Research Area
Uploaded Files
laine2011tr1_paper.pdf153.89 KB